LEY 2277 DE 2022
(diciembre 13)
Diario Oficial No. 52.247 de 13 de diciembre de 2022
PODER PÚBLICO – RAMA LEGISLATIVA
<La publicación en el Diario Oficial presenta errores tipográficos>
Por medio de la cual se adopta una reforma tributaria para la igualdad y la justicia social y se dictan otras disposiciones.
EL CONGRESO DE COLOMBIA
DECRETA:
ARTÍCULO 1o. OBJETO. Con el propósito de apoyar el gasto social en la lucha por la igualdad y la justicia social y consolidar el ajuste fiscal, la presente ley tiene por objeto adoptar una reforma tributaria que contribuya a la equidad, progresividad y eficiencia del sistema impositivo, a partir de la implementación de un conjunto de medidas dirigidas a fortalecer la tributación de los sujetos con mayor capacidad contributiva, robustecer los ingresos del Estado, reforzar la lucha contra la evasión, el abuso y la elusión, y promover el mejoramiento de la salud pública y el medio ambiente.
IMPUESTO SOBRE LA RENTA Y COMPLEMENTARIOS.
IMPUESTO SOBRE LA RENTA PARA LAS PERSONAS NATURALES.
ARTÍCULO 2o. Modifíquense el numeral 10 y los parágrafos 3 y 5 del Artículo 206 del Estatuto Tributario, los cuales quedarán así:
10. El veinticinco por ciento (25%) del valor total de los pagos laborales, limitada anualmente a setecientos noventa (790) UVT. El cálculo de esta renta exenta se efectuará una vez se detraiga del valor total de los pagos laborales recibidos por el trabajador, los ingresos no constitutivos de renta, las deducciones y las demás rentas exentas diferentes a la establecida en el presente numeral.
PARÁGRAFO 3o. Para tener derecho a la exención consagrada en el numeral 5 de este Artículo, el contribuyente debe cumplir los requisitos necesarios para acceder a la pensión, de acuerdo con la Ley 100 de 1993.
El tratamiento previsto en el numeral 5 del presente Artículo será aplicable a los ingresos derivados de pensiones, ahorro para la vejez en sistemas de renta vitalicia, y asimiladas, obtenidas en el exterior o en organismos multilaterales.
PARÁGRAFO 5o. La exención prevista en el numeral 10 también procede en relación con las rentas de trabajo que no provengan de una relación laboral o legal y reglamentaria.
ARTÍCULO 3o. Modifíquese el Artículo 242 del Estatuto Tributario, el cual quedará así:
Artículo 242. Tarifa especial para dividendos o participaciones recibidas por personas naturales residentes. Los dividendos y participaciones pagados o abonados en cuenta a personas naturales residentes y sucesiones ilíquidas de causantes que al momento de su muerte eran residentes del país, provenientes de distribución de utilidades que hubieren sido consideradas como ingreso no constitutivo de renta ni ganancia ocasional conforme a lo dispuesto en el numeral 3 del Artículo 49 de este Estatuto, integrarán la base gravable del impuesto sobre la renta y complementarios y estarán sujetas a la tarifa señalada en el Artículo 241 de este Estatuto.
Los dividendos y participaciones pagados o abonados en cuenta a personas naturales residentes y sucesiones ilíquidas de causantes que al momento de su muerte eran residentes del país, provenientes de distribuciones de utilidades gravadas conforme a lo dispuesto en el parágrafo 2 del Artículo 49 de este Estatuto, estarán sujetos a la tarifa señalada en el Artículo 240 de este Estatuto, según el período gravable en que se paguen o se abonen en cuenta, caso en el cual el impuesto señalado en el inciso anterior se aplicará una vez disminuido este impuesto. A esta misma tarifa estarán gravados los dividendos y participaciones recibidos de sociedades y entidades extranjeras.
PARÁGRAFO. La retención en la fuente sobre el valor de los dividendos brutos pagados o decretados en calidad de exigibles por concepto de dividendos o participaciones durante el periodo gravable, independientemente del número de cuotas en que se fraccione dicho valor, será la que resulte de aplicar a dichos pagos la siguiente tabla.
| Desde | Hasta | Tarifa marginal de retención en la fuente | Retención en la fuente |
| 0 | 1.090 | 0% | 0% |
| > 1.090 | En adelante | 15% | (Dividendos decretados en calidad de exigibles en UVT menos l. 090 UVT) x 15% |
El accionista persona natural residente imputará la retención en la fuente practicada en su declaración del impuesto sobre la renta.
ARTÍCULO 4o. Modifíquese el inciso 1 del Artículo 245 del Estatuto Tributario, el cual quedará así:
Artículo 245. Tarifa especial para dividendos o participaciones recibidos por sociedades y entidades extranjeras y por personas naturales no residentes. La tarifa del impuesto sobre la renta correspondiente a dividendos o participaciones, percibidos por sociedades u otras entidades extranjeras sin domicilio principal en el país, por personas naturales sin residencia en Colombia y por sucesiones ilíquidas de causantes que no eran residentes en Colombia será del veinte por ciento (20%).
ARTÍCULO 5o. Adiciónese el Artículo 254-1 al Estatuto Tributario, así:
Artículo 254-1. Descuento tributario determinado a partir de la renta líquida cedular de dividendos y participaciones de personas naturales residentes y sucesiones ilíquidas de causantes residentes. Las personas naturales residentes y sucesiones ilíquidas de causantes que al momento de su muerte eran residentes del país, y hayan percibido ingresos por concepto de dividendos y/o participaciones declarados en los términos del Artículo 331 del Estatuto Tributario, podrán descontar de su impuesto sobre la renta, en ese mismo periodo, el valor que se determine de conformidad con la siguiente tabla:
| Renta líquida cedular de dividendos y participaciones desde | Renta líquida cedular de dividendos y participaciones hasta | Descuento marginal | Descuento |
| 0 | 1.090 | 0% | 0% |
| >1.090 | En adelante | 19% | (Renta líquida cedular de dividendos y participaciones en UVT menos 1. 090 UVT) x 19% |
ARTÍCULO 6o. Modifíquese el Artículo 331 del Estatuto Tributario, el cual quedará así:
Artículo 331. Renta líquida gravable. Para efectos de determinar la renta líquida gravable a la que le serán aplicables las tarifas establecidas en el Artículo 241 de este Estatuto, se seguirán las siguientes reglas:
Se sumarán las rentas líquidas cedulares obtenidas en las rentas de trabajo, de capital, no laborales, de pensiones y de dividendos y participaciones. A esta renta líquida gravable le será aplicable la tarifa señalada en el Artículo 241 de este Estatuto. Lo anterior, sin perjuicio de las rentas líquidas especiales.
Las pérdidas de las rentas líquidas cedulares no se sumarán para efectos de determinar la renta líquida gravable. En cualquier caso, podrán compensarse en los términos del Artículo 330 de este Estatuto.
ARTÍCULO 7o. Modifíquese el Artículo 336 del Estatuto Tributario, el cual quedará así:
Artículo 336. Renta líquida gravable de la cédula general. Para efectos de establecer la renta líquida de la cédula general, se seguirán las siguientes reglas:
1. Se sumarán los ingresos obtenidos por todo concepto excepto los correspondientes a dividendos y ganancias ocasionales.
2. A la suma anterior, se le restarán los ingresos no constitutivos de renta imputables a cada ingreso.
3. Al valor resultante podrán restarse todas las rentas exentas y las deducciones especiales imputables a esta cédula, siempre que no excedan el cuarenta (40%) del resultado del numeral anterior, que en todo caso no puede exceder de mil trescientas cuarenta (1.340) UVT anuales.
Sin perjuicio de lo establecido en el inciso 2 del Artículo 387 del Estatuto Tributario, el trabajador podrá deducir, en adición al límite establecido en el inciso anterior, setenta y dos (72) UVT por dependiente hasta un máximo de cuatro (4) dependientes.
4. En la depuración de las rentas no laborales y las rentas de capital se podrán restar los costos y los gastos que cumplan con los requisitos generales para su procedencia establecidos en las normas de este Estatuto y que sean imputables a estas rentas específicas.
En estos mismos términos también se podrán restar los costos y los gastos asociados a rentas de trabajo que no provengan de una relación laboral o legal y reglamentaria, casó en el cual los contribuyentes deberán optar entre restar los costos y gastos procedentes o la renta exenta prevista en el numeral 10 del Artículo 206 del Estatuto Tributario conforme con lo dispuesto en el parágrafo 5 del mismo Artículo.
5. Las personas naturales que declaren ingresos de la cédula general a los que se refiere el Artículo 335 de este Estatuto, que adquieran bienes y/o servicios, podrán solicitar como deducción en el impuesto sobre la renta, independientemente de que tenga o no relación de causalidad con la actividad productora de renta del contribuyente, el uno por ciento (1%) del valor de las adquisiciones, sin que exceda doscientas cuarenta (240) UVT en el respectivo año gravable, siempre que se cumpla con los siguientes requisitos:
5.1. Que la adquisición del bien y/o del servicio no haya sido solicitada como costo o deducción en el impuesto sobre la renta, impuesto descontable en el impuesto sobre las ventas –IVA–, ingreso no constitutivo de renta ni ganancia ocasional, renta exenta, descuento tributario u otro tipo de beneficio o crédito fiscal.
5.2. Que la adquisición del bien y/o del servicio esté soportada con factura electrónica de venta con validación previa, en donde se identifique el adquirente con nombres y apellidos y con el número de identificación tributaria –NIT– o número de documento de identificación, y con el cumplimiento de todos los demás requisitos exigibles para este sistema de facturación.
5.3. Que la factura electrónica de venta se encuentre pagada a través de tarjeta débito, crédito o cualquier medio electrónico en el cual intervenga una entidad vigilada por la Superintendencia Financiera o quien haga sus veces, dentro del periodo gravable en el cual se solicita la deducción de que trata el presente numeral.
5.4. Que la factura electrónica de venta haya sido expedida por sujetos obligados a expedirla.
La deducción de que trata el presente numeral no se encuentra sujeta al límite previsto en el numeral 3 del presente Artículo y no se tendrá en cuenta para el cálculo de la retención en la fuente, ni podrá dar lugar a pérdidas.
ARTÍCULO 8o. Modifíquese el inciso 1 del parágrafo 2 del Artículo 383 del Estatuto Tributario, el cual quedará así:
PARÁGRAFO 2o. La retención en la fuente establecida en el presente Artículo será aplicable a los pagos o abonos en cuenta por concepto de rentas de trabajo que no provengan de una relación laboral o legal y reglamentaria.
ARTÍCULO 9o. Modifíquese el numeral 3 del parágrafo 2 del Artículo 387 del Estatuto Tributario, el cual quedará así:
3. Los hijos del contribuyente mayores de dieciocho (18) años que se encuentren en situación de dependencia/ originada en factores físicos o psicológicos que sean certificados por Medicina Legal.
IMPUESTO SOBRE LA RENTA PARA PERSONAS JURÍDICAS.
ARTÍCULO 10. Modifíquese el Artículo 240 del Estatuto Tributario, el cual quedará así:
Artículo 240. Tarifa general para personas jurídicas. La tarifa general del impuesto sobre la renta aplicable a las sociedades nacionales y sus asimiladas, los establecimientos permanentes de entidades del exterior y las personas jurídicas extranjeras con o sin residencia en el país, obligadas a presentar la declaración anual del impuesto sobre la renta y complementarios, será del treinta y cinco por ciento (35%).
PARÁGRAFO 1o. Estarán gravadas a la tarifa del nueve por ciento (9%) las rentas obtenidas por las empresas industriales y comerciales del Estado y las sociedades de economía mixta del orden Departamental, Municipal y Distrital, en las cuales la participación del Estado sea superior del noventa por ciento (90%) que ejerzan los monopolios de suerte y azar y de licores y alcoholes.
PARÁGRAFO 2o. Las instituciones financieras, las entidades aseguradoras y reaseguradoras, las sociedades comisionistas de bolsa de valores, las sociedades comisionistas agropecuarias, las bolsas de bienes y productos agropecuarios, agroindustriales o de otros commodities y los proveedores de infraestructura del mercado de valores deberán liquidar cinco (5) puntos adicionales al impuesto sobre la renta y complementarios durante los periodos gravables 2023, 2024, 2025, 2026 y 2027, siendo en total la tarifa del cuarenta por ciento (40%).
Los puntos adicionales de los que trata el presente parágrafo solo son aplicables a las personas jurídicas que, en el año gravable correspondiente, tengan una renta gravable igual o superior a ciento veinte mil (120.000) UVT.
La sobretasa de que trata este parágrafo está sujeta a un anticipo del ciento por ciento (100%) del valor de la misma, calculado sobre la base gravable del impuesto sobre la renta y complementarios sobre la cual el contribuyente liquidó el mencionado impuesto para el año gravable inmediatamente anterior. El anticipo de la sobretasa del impuesto sobre la renta y complementarios deberá pagarse en dos cuotas iguales anuales en los plazos que fije el reglamento.
Con el fin de contribuir al bienestar general y al mejoramiento de la calidad de vida de la población, tres (3) puntos del recaudo por concepto de la sobretasa de que trata este parágrafo se destinarán a la financiación de vías de la Red Vial Terciaria. El Gobierno nacional determinará las condiciones y la forma de asignación de los recursos recaudados, así como el mecanismo para la ejecución de los mismos, dando prioridad en todo caso a los proyectos viales de municipios PDET.
PARÁGRAFO 3o. Las sociedades nacionales y sus asimiladas, los establecimientos permanentes de entidades del exterior y las personas jurídicas extranjeras con o sin residencia en el país, deberán adicionar a la tarifa general del impuesto sobre la renta unos puntos adicionales, cuando desarrollen alguna o algunas de las siguientes actividades económicas, así:
1. Extracción de hulla (carbón de piedra) CIIU- 0510 y extracción de carbón lignito CIIU - 0520, así:
| Puntos adicionales en la tarifa del impuesto sobre la renta | Condición de adición de los puntos adicionales |
| Cero (0) puntos adicionales Cero por ciento (0%) | Cuando el precio promedio del respectivo año gravable objeto de declaración se encuentre por debajo del percentil sesenta y cinco (65) de los precios promedio mensuales de los últimos ciento veinte (120) meses, sin incluir el precio de los meses transcurridos en el año de la declaración. |
| Cinco (5) puntos adicionales Cinco por ciento (5%) | Cuando el precio promedio del respectivo año gravable objeto de declaración se encuentre entre el percentil sesenta y cinco (65) y setenta y cinco (75) de los precios promedio mensuales de los últimos ciento veinte (120) meses, sin incluir el precio de los meses transcurridos en el año de la declaración. |
| Puntos adicionales en la tarifa del impuesto sobre la renta | Condición de adición de los puntos adicionales |
| Diez (10) puntos adicionales Diez por ciento (10%) | Cuando el precio promedio del respectivo año gravable objeto de declaración se encuentre por encima del percentil setenta y cinco (75) de los precios promedio mensuales de los últimos ciento veinte (120) meses, sin incluir el precio de los meses transcurridos en el año de la declaración. |
Los precios de la tabla anterior para las actividades económicas extracción de hulla (carbón de piedra) CIIU - 0510 y extracción de carbón lignito CIIU - 0520, corresponderán al precio promedio internacional del carbón de referencia API2, restado por el valor del flete BCI7 (API2 - BCI7) USD/Tonelada, deflactado con el Índice de Precios al Consumidor para todos los consumidores urbanos de los Estados Unidos de América, publicado por la Oficina de Estadísticas Laborales de ese país.
2. Extracción de petróleo crudo CIIU- 0610, así:
| Puntos adicionales en la tarifa del impuesto sobre la renta | Condición de adición de los puntos adicionales |
| Cero (0) puntos adicionales Cero por ciento (0%) | Cuando el precio promedio del respectivo año gravable objeto de declaración se encuentre por debajo del percentil treinta (30) de los precios promedio mensuales de los últimos ciento veinte (120) meses, sin incluir el precio de los meses transcurridos en el año de la declaración. |
| Cinco (5) puntos adicionales Cinco por ciento (5%) | Cuando el precio promedio del respectivo año gravable objeto de declaración se encuentre entre el percentil treinta (30) y cuarenta y cinco (45) de los precios promedio mensuales de los últimos ciento veinte (120) meses, sin incluir el precio de los meses transcurridos en el año de la declaración. |
| Diez (10) puntos adicionales Diez por ciento (10%) | Cuando el precio promedio del respectivo año gravable objeto de declaración se encuentre por encima del percentil cuarenta y cinco (45) y entre el percentil sesenta (60) de los precios promedio mensuales de los últimos ciento veinte (120) meses, sin incluir el precio de los meses transcurridos en el año de la declaración. |
| Quince (15) puntos adicionales | Cuando el precio promedio del respectivo año gravable objeto de declaración se encuentre por encima del percentil sesenta (60) de los precios promedio mensuales de los últimos ciento veinte (120) meses, sin incluir el precio de los meses transcurridos en el año de la declaración. |
Los precios promedio de la tabla anterior para la actividad económica extracción de petróleo crudo CIIU - 0610 corresponderán al precio promedio internacional del petróleo crudo de referencia Brent USD/ Barril, deflactado con el Índice de Precios al Consumidor para todos los consumidores urbanos de los Estados Unidos de América, publicado por la Oficina de Estadísticas Laborales de ese país.
Para la aplicación de los puntos adicionales la Unidad de Planeación Minero-Energética, en el caso de las actividades de extracción de hulla (carbón de piedra) CIIU - 0510 y extracción de carbón lignito CIIU – 0520, y la Agencia Nacional de Hidrocarburos, para el caso de la actividad económica de extracción de petróleo crudo CIIU – 0610, publicarán a más tardar, el último día hábil de enero de cada año, mediante resolución, la información correspondiente a los precios promedio del año gravable inmediatamente anterior, así como la tabla de percentiles de precios promedio mensuales, incluyendo por lo menos:
1. El precio promedio del petróleo crudo que se encuentre en el percentil treinta (30) de los precios promedio mensuales de los últimos ciento veinte (120) meses, sin incluir el precio de los meses transcurridos en el año de la declaración.
2. El precio promedio del petróleo crudo que se encuentre en el percentil cuarenta y cinco (45) de los precios promedio mensuales de los últimos ciento veinte (120) meses, sin incluir el precio de los meses transcurridos en el año de la declaración.
3. El precio promedio del petróleo crudo que se encuentre en el percentil sesenta (60) de los precios promedio mensuales de los últimos ciento veinte (120) meses, sin incluir el precio de los meses transcurridos en el año de la declaración.
4. El precio promedio del carbón que se encuentre en el percentil sesenta y cinco (65) de los precios promedio mensuales de los últimos ciento veinte (120) meses sin incluir el precio de los meses transcurridos en el año de la declaración.
5. El precio promedio del carbón que se encuentre en el percentil setenta y cinco (75) de los precios promedio mensuales de los úl timos ciento veinte (120) meses sin incluir el precio de los meses transcurridos en el año de la declaración.
Estos puntos adicionales sobre la tarifa del impuesto sobre la renta solo son aplicables a los contribuyentes de que trata este parágrafo que, en el año gravable correspondiente, tengan una renta gravable igual o superior a cincuenta mil (50.000) UVT. El umbral anterior se calculará de manera agregada para las actividades realizadas por personas vinculadas, según los criterios de vinculación previstos en el Artículo 260-1 de este Estatuto.
Cuando un mismo contribuyente tenga ingresos por las diferentes actividades económicas sujetas a. lo aquí previsto, los puntos adicionales serán determinados por la actividad que mayores ingresos fiscales genera para el contribuyente.
Cuando los contribuyentes obtengan ingresos por concepto de venta de gas natural, los puntos adicionales que se deberán adicionar a la tarifa general del impuesto sobre la renta se determinarán al multiplicar los puntos adicionales determinados de acuerdo con lo establecido en los incisos anteriores de este parágrafo, por la proporción que dé como resultado la división de la totalidad de los ingresos brutos diferentes a la venta de gas natural entre los ingresos brutos totales.
PARAGRAFO 4o. <Parágrafo CONDICIONALMENTE exequible> Los contribuyentes cuya actividad económica principal sea la generación de energía eléctrica a través de recursos hídricos deberán liquidar tres (3) puntos adicionales al impuesto sobre la renta y complementarios durante los periodos gravables 2023, 2024, 2025 y 2026, siendo en total la tarifa del treinta y ocho por ciento (38%),
Los puntos adicionales de los que trata el presente parágrafo solo son aplicables a las personas Jurídicas que, en el año gravable correspondiente, tengan una renta gravable igual o superior a treinta mil (30.000) UVT. El umbral anterior se calculará de manera agregada para las actividades realizadas por personas vinculadas, según los criterios de vinculación previstos en el Artículo 260-1 de este Estatuto.
La sobretasa de que trata este parágrafo está sujeta a un anticipo del ciento por ciento (100%) del valor de la misma, calculado sobre la base gravable del impuesto sobre la renta y complementarios sobre la cual el contribuyente liquidó el mencionado impuesto para el año gravable inmediatamente anterior. El anticipo de la sobretasa del impuesto sobre la renta y complementarios deberá pagarse en dos (2) cuotas iguales anuales en los plazos que fije el reglamento.
Lo dispuesto en el presente parágrafo no se aplicable a las Pequeñas Centrales Hidroeléctricas cuya capacidad instalada sea igual o menor a mil Kilovatios (1.000 Kw).
La sobretasa establecida en el presente parágrafo no podrá ser trasladada al usuario final. Lo anterior considerando el régimen de competencia definido para cada etapa de la cadena de valor de la prestación del servicio de energía eléctrica. La Comisión de Regulación de Energía y Gas (CREG) regulará la materia y la Superintendencia de Servicios Públicos Domiciliarios realizarán la inspección y vigilancia de acuerdo con sus competencias.
PARÁGRAFO 5o. Las sociedades nacionales y sus asimiladas, los establecimientos permanentes de entidades del exterior y las personas Jurídicas extranjeras con o sin residencia en el país tendrán una tarifa del quince por ciento (15%) sobre los ingresos percibidos en la prestación de servicios hoteleros, de parques temáticos de ecoturismo y/o de agroturismo, por un término de diez (10) años, contados a partir del inicio de la prestación del respectivo servicio que se efectúe en:
1. Los nuevos proyectos de hoteles, de parques temáticos de ecoturismo y/o de agroturismo que se construyan, o
2. Los hoteles, parques temáticos de ecoturismo y/o de agroturismo que se remodelen y/o se amplíen, siempre y cuando el valor de la remodelación y/o ampliación no sea inferior al cincuenta por ciento (50%) del valor de la adquisición del inmueble remodelado y/o ampliado, conforme a las reglas de Artículo 90 de este Estatuto
Para efectos de lo dispuesto en el presente parágrafo, se deberán cumplir los siguientes requisitos:
1. Que se realice la construcción, ampliación y/o remodelación en:
1.1. Municipios de hasta doscientos mil (200.000) habitantes, tal y como lo certifique el Departamento Administrativo Nacional de Estadística (DANE) a treinta y uno (31) de diciembre de 2022, y/o
1.2. Municipios listados en los programas de desarrollo con enfoque territorial (PDET).
2. Que, en el caso del nuevo proyecto hotelero, de parque temático de ecoturismo y/o de agroturismo cuente con la licencia de construcción expedida por la autoridad competente en la cual conste la aprobación respectiva de la nueva construcción.
3. Que en el caso de la ampliación y/o remodelación del hotel, del parque temático de ecoturismo y/o de agroturismo cuente con la aprobación previa del proyecto por parte de la Curaduría Urbana o en su defecto de la Alcaldía Municipal del domicilio del inmueble remodelado y/o ampliado.
4. Que el hotel, el parque temático de ecoturismo y/o agroturismo cuente con la habilitación del registro nacional de turismo, al momento de inicio de los servicios objeto del beneficio tributario.
5. Que la construcción, ampliación y/o remodelación se realice en su totalidad dentro de los cinco (5) años siguientes a partir de la entrada en vigencia de la presente ley y se inicie la prestación del servicio de ecoturismo y/o agroturismo/ en este periodo.
El Ministerio de Comercio, Industria y Turismo certificará la prestación del servicio por las sociedades nacionales y sus asimiladas, los establecimientos permanentes de entidades del exterior y las personas Jurídicas extranjeras con o sin residencia en el país, sobre los nuevos proyectos de construcción, remodelación y/o ampliación de hoteles, parques temáticos de ecoturismo y/o agroturismo y que cumplan con los requisitos y condiciones establecidos en este parágrafo y su reglamentación.
La tarifa del impuesto sobre la renta del quince por ciento (15%) de que trata el presente parágrafo podrá ser aplicada por los operadores de los hoteles, parques temáticos de ecoturismo y/o de agroturismo, siempre y cuando los nuevos proyectos de construcción, remodelación y/o ampliación se hayan entregado para el desarrollo de la operación y la renta provenga directamente de la prestación de dichos servicios sin que exista rendimiento garantizado.
Lo previsto en el presente parágrafo no será aplicable a moteles y residencias.
PARÁGRAFO 6o. El presente parágrafo establece una tasa mínima de tributación para los contribuyentes del impuesto sobre la renta de que trata esté artículo y el artículo 240-1 del Estatuto Tributario, salvo las personas Juridicas extranjeras sin residencia en el país, que se calculará a partir de la utilidad financiera depurada. Esta tasa mínima se denominará Tasa de Tributación Depurada (TTD) la cual no podrá ser inferior al quince por ciénto (15%) y será el resultado de dividir el Impuesto Depurado (ID) sobre la Utilidad Depurada (UD), así:

Por su parte, el Impuesto Depurado (ID) y la Utilidad Depurada (UD) se calculará así:
ID= INR + DTC-JRP
ID: Impuesto Depurado.
INR: Impuesto neto de renta.
DTC: Descuentos tributarios o créditos tributarios por aplicación de tratados para evitar la doble imposición y el establecido en el artículo 254 del Estatuto Tributario.
IRP: Impuesto sobre la renta por rentas pasivas provenientes de entidades controladas del exterior. Se calculará multiplicando la renta líquida pasiva por la tarifa general del artículo 240 del Estatuto Tributario (renta líquida pasiva x tarifa general).
UD= UC + DPARL - INCRNGO - VIMPP - VNGO - RE - C
UD Utilidad Depurada.
UC: Utilidad contable o financiera antes de impuestos.
DPARL Diferencias permanentes consagradas en la ley y que aumentan la renta líquida.
INCRNGO: Ingresos no constitutivos de renta ni ganancia ocasional, que afectan la utilidad contable o financiera.
VIMPP: Valor ingreso método de participación patrimonial del respectivo año gravable.
VNGO: Valor neto de ingresos por ganancia ocasional que afectan la utilidad contable o financiera.
RE: Rentas exentas por aplicación de tratados para evitar la doble imposición - CAN, las percibidas por el régimen de compañias holding colombianas -CHC y las rentas externas de que tratan los literales a) y b) del numeral 4 y el numeral 7 del artículo 235-2 del Estatuto Tributario.
C: Compensación de pérdidas fiscales o excesos de renta presuntiva tomados en el año gravable y que no afectaron la utilidad contable del periodo.
Cuando la Tasa de Tributación Depurada (TTD) sea inferior al quince por ciento (15%) se deberá determinar el valor del Impuesto a Adicionar (IA) para alcanzar la tasa del quince por ciento (15%), así:
1. Para los contribuyentes sujetos a este artículo y al artículo 240-1 del Estatuto Tributario, cuyos estados financieros no sean objeto de consolidación, la diferencia positiva entre la Utilidad Depurada (UD) multiplicada por el quince por ciento (15%) y el Impuesto Depurado (ID), será un mayor valor del impuesto sobrelá renta, que deberá adicionarse al impuesto sobre la renta (IA).
IA = (UD* 15%) - ID
2. Los contribuyentes residentes fiscales en Colombia cuyos estados financieros sean objeto de consolidación en Colombia, deberán realizar el siguiente procedimiento.
2.1. Calcular la Tasa de Tributación Depurada del Grupo (TTDG) dividiendo la sumatoria de los Impuestos Depurados (
ID) de cada contribuyente residente fiscal en Colombia objeto de consolidación por la sumatoria de la Utilidad Depurada (
UD) de cada contribuyente residente fiscal en Colombia cuyos estados financieros son objeto de consolidación, así:

2.2. Si el resultado es inferior al quince por ciento (15%), se deberá calcular el Impuesto a Adicionar por el Grupo (IAG) a partir de la diferencia entre la sumatoria de la Utilidad Depurada (
UD) multiplicada por el quince por ciento (15%) menos la sumatoria del lmpuesto Depurado (
ID) de cada contribuyente, cuyos estados financieros se consolidan, así:
![]()
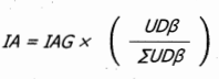
2.3. Para calcular el Impuesto a Adicionar (IA) de cada contribuyente residente fiscal en Colombia, se deberá multiplicar el Impuesto a Adicionar por el Grupo (IAG) por el porcentaje que dé como resultado la división de la Utilidad Depurada) de cada contribuyente con utilidad depurada mayor a cero (
) sobre la sumatoria de las Utilidades Depuradas de los contribuyentes con Utilidades Depuradas mayores a cero
, así:

Lo dispuesto en este parágrafo no aplica para:
a) Las sociedades que se constituyeron como Zonas Economicas y Sociales Especiales -ZESE durante el periodo que su tarifa del impuesto sobre la renta sea del cero por ciento (0%) las sociedades que aplican el incentivo tributario de las zonas más afectadas por el conflicto armado -ZOMAC las sociedades de que tratan los parágrafos 5 y 7 del presente artículo, siempre y cuando no estén obligadas a presentar el informe país por país de conformidadcon lo establecido en el artículo 260-5 del Estatuto Tributario.
b) Las sociedades de que trata el parágrafo 1 del presente artículo.
De igual forma no aplica lo indicado en este parágrafo para aquellos contribuyentes cuyos estados financieros no sean objeto de consolidación y su Utilidad Depurada (UD) sea igual o menor a cero (0) o para los contribuyentes cuyos estados financieros sean objeto de consolidación y la sumatoria de la Utilidad Depurada (
UD) sea igual o menor a cero (0).
c) Quienes se rijan por lo previsto en el artículo 32 de este Estatuto,
PARÁGRAFO 7o. La tarifa del impuesto sobre la renta aplicable a las empresas editoriales constituidas en Colombia como personas jurídicas, cuya actividad económica y objeto social sea exclusivamente la edición de libros en los términos de la Ley 98 de 1993 será del quince por ciento (15%).
ARTÍCULO 11. Modifíquese el Artículo 240-1 del Estatuto Tributario, el cual quedará así:
Artículo 240-1. Tarifa para usuarios de zona franca. Para efectos de la determinación del impuesto sobre la renta, los usuarios industriales de zonas francas aplicarán las siguientes reglas:
1. <Numeral CONDICIONALMENTE exequible> A la renta líquida gravable multiplicada por el resultado de dividir los ingresos provenientes de la exportación de bienes y servicios por la totalidad de los ingresos fiscales, excluyendo las ganancias ocasionales, le será aplicable una tarifa del veinte por ciento (20%) del impuesto sobre la renta.
2. <Numeral CONDICIONALMENTE exequible> A la renta líquida gravable multiplicada por el resultado de dividir los ingresos diferentes de aquellos provenientes de exportación de bienes y servicios por la totalidad de los ingresos fiscales, excluyendo las ganancias ocasionales, le será aplicable la tarifa general del Artículo 240 del Estatuto Tributario.
3. <Numeral CONDICIONALMENTE exequible> La suma de los numerales 1 y 2 corresponde al impuesto sobre la renta.
PARÁGRAFO 1o. La tarifa del impuesto sobre la renta gravable aplicable a los usuarios comerciales de zona franca será la tarifa general del Artículo 240 de este Estatuto.
PARÁGRAFO 2o. Para los contribuyentes usuarios de zona franca que tienen suscrito contrato de estabilidad jurídica, la tarifa será la establecida en el correspondiente contrato y no podrá aplicarse concurrentemente con la deducción de que trataba el Artículo 158-3 de este Estatuto.
PARÁGRAFO 3o. Los contribuyentes usuarios de zonas francas que hayan suscrito un contrato de estabilidad Jurídica, no tendrán derecho a la exoneración de aportes de que trata el Artículo 114-1 del Estatuto Tributario.
PARÁGRAFO 4o. Los ingresos provenientes de la prestación de servicios de salud a pacientes sin residencia en Colombia por parte de las zonas francas permanentes especiales de servicios de salud o usuarios industriales de servicios de salud de una zona franca permanente, zonas francas dedicadas al desarrollo de infraestructuras relacionadas con aeropuertos, sumarán como ingresos por exportación de bienes y servicios.
PARÁGRAFO 5o. La tarifa del impuesto sobre la renta y complementarios gravable aplicable a zonas francas costa afuera; usuarios industriales de zonas francas permanentes especiales de servicios portuarios, usuarios industriales de servicios portuarios de una zona franca, usuarios industriales de zona franca permanente especial cuyo objeto social principal sea la refinación de combustibles derivados del petróleo o refinación de biocombustibles industriales; usuarios industriales de servicios que presten los servicios de logística del numeral 1 del Artículo 3o de la Ley 1004 de 2005 y a usuarios operadores, será del veinte por ciento (20%).
PARÁGRAFO 6o. <Parágrafo CONDICIONALMENTE exequible> Únicamente podrían aplicar lo dispuesto en el inciso 1 del presente Artículo, los usuarios industriales de zona franca que, en el año 2023 o 2024, acuerden su plan de internacionalización y anual de ventas, en el cual se establezcan objetivos máximos de ingresos netos por operaciones de cualquier naturaleza en el territorio aduanero nacional y los demás ingresos que obtenga el usuario industrial diferentes al desarrollo de su actividad para la cual fue autorizado, reconocido o calificado, durante el año gravable correspondiente.
Para tal fin deberán suscribir el acuerdo con el Ministerio de Comercio, Industria y Turismo para cada uno de los años gravables.
En caso de no suscribir el acuerdo o incumplir los objetivos máximos de ingresos, la tarifa del impuesto de renta será la tarifa general indicada en el inciso 1 del Artículo 240 del Estatuto Tributario.
Lo dispuesto en el presente parágrafo aplicará de conformidad con la reglamentación que expida el Gobierno nacional.
Los usuarios industriales de zona franca que se califiquen, autoricen o aprueben a partir del año 2025 deberán suscribir su plan de internacionalización y anual de ventas, para cada uno de los años gravables, a efectos de aplicar lo dispuesto en el inciso 1 del presente Artículo.
PARÁGRAFO TRANSITORIO. Lo dispuesto en el inciso 1 del presente Artículo aplicará a partir del primero (1) de enero de 2024. Para el año gravable 2023, la tarifa del impuesto sobre la renta y complementarios de los usuarios industriales será del veinte por ciento (20%). Los usuarios industriales que hayan tenido un crecimiento de sus ingresos brutos del sesenta por ciento (60%) en 2022 en relación con 2019 aplicarán la tarifa veinte por ciento (20%) hasta el año gravable 2025.
ARTÍCULO 12. Modifíquese el inciso 1 del Artículo 242-1 del Estatuto Tributario, el cual quedará así:
Artículo 242-1. Tarifa especial para dividendos o. Participaciones recibidas por sociedades nacionales. Los dividendos y participaciones pagados o abonados en cuenta a sociedades nacionales, provenientes de distribución de utilidades que hubieren sido consideradas como ingreso no constitutivo de renta ni ganancia ocasional, conforme a lo dispuesto en el numeral 3 del Artículo 49 de este Estatuto, estarán sujetas a la tarifa del diez por ciento (10%) a título de retención en la fuente sobre la renta, que será trasladable e imputable a la persona natural residente o inversionista residente en el exterior.
ARTÍCULO 13. Modifíquese el inciso 1 del artículo 246 del Estatuto Tributario, el cual quedará así:
Artículo 246. Tarifa especial para dividendos y participaciones recibidos por establecimientos permanentes de sociedades extranjeras. La tarifa del impuesto sobre la renta aplicable a los dividendos y participaciones que se paguen o se abonen en cuenta a establecimientos permanentes en Colombia de sociedades extranjeras será del veinte por ciento (20%) cuando provengan de utilidades que hayan sido distribuidas a título de ingreso no constitutivo de renta ni ganancia ocasional.
ARTÍCULO 14. Adiciónese el Artículo 259-1 al Estatuto Tributario, así:
Artículo 259-1. Límite a los beneficios y estímulos tributarios para las sociedades nacionales y sus asimiladas, los establecimientos permanentes de entidades del exterior y las personas jurídicas extranjeras con o sin residencia en el país. Para las sociedades nacionales y sus asimiladas, los establecimientos permanentes de entidades del exterior y las personas jurídicas extranjeras con o sin residencia en el país contribuyentes del impuesto sobre la renta y complementarios, el valor de los ingresos no constitutivos de renta ni ganancia ocasional, deducciones especiales, rentas exentas y descuentos tributarios previstos en el presente Artículo no podrá exceder el tres por ciento.(3%) anual de su renta líquida ordinaria antes de detraer las deducciones especiales contempladas en este Artículo. Para efectos del cálculo del impuesto a pagar, se debe adicionar al impuesto a cargo del respectivo año gravable, siempre que sea positivo, el valor resultante de la siguiente fórmula.
VAA = (DE+ RE+ INCRNGO) * TRPJ + DT - 3%RLO*
Donde:
- VAA: corresponde al valor a adicionar.
- DE: corresponde a las deducciones especiales sujetas al límite previsto.
- RE: corresponde a las rentas exentas sujetas al límite previsto.
- INCRNGO: corresponde a los ingresos no constitucionales de renta ni ganancia ocasional sujetos al límite previsto.
- TRRJ: corresponde a la tarifa del impuesto sobre la renta aplicable
- DT: corresponde a los descuentos tributarios sujetos al límite previsto.
- RLO*: corresponde a la renta líquida ordinaria anual del contribuyente, calculada antes de detraer las deducciones especiales sujetas al límite.
En caso de que el VAA sea menor o igual a cero (VAA
0), el valor a adicionar no se sumará al impuesto a cargo calculado para el contribuyente. En caso contrario, el VAA será sumado al impuesto a cargo.
Para efectos de la fórmula prevista en el presente Artículo, únicamente estarán sujetos al límite los ingresos no constitutivos de renta ni ganancia ocasional, deducciones especiales, rentas exentas y descuentos tributarios establecidos en los Artículos 107-2, 255, 257-1 del Estatuto Tributario, 124 de la Ley 30 de 1992, 56 de la Ley 397 de 1997, 44 de la Ley 789 de 2002, 23 de la Ley 1257 de 2008 y 4o de la Ley 1493 de 2011. Los ingresos no constitutivos de renta ni ganancia ocasional, deducciones especiales, rentas exentas y descuentos tributarios que no se encuentren señalados en el presente Artículo, no estarán sujetos al límite.
OTRAS DISPOSICIONES EN MATERIA DEL IMPUESTO SOBRE LA RENTA Y COMPLEMENTARIOS.
ARTÍCULO 15. Modifíquese el inciso 3 del Artículo 22 del Estatuto Tributario, el cual quedará así:
Tampoco serán contribuyentes ni declarantes los resguardos y cabildos indígenas, las asociaciones de cabildos indígenas, conforme al Decreto 1088 de 1993, ni la propiedad colectiva de las comunidades negras conforme a la Ley 70 de 1993.
ARTÍCULO 16. Modifíquese el inciso 2 del Artículo 36-1 del Estatuto Tributario, el cual quedará así:
No constituyen renta ni ganancia ocasional las utilidades provenientes de la enajenación de acciones inscritas en una Bolsa de Valores Colombiana, de las cuales sea titular un mismo beneficiario real, cuando dicha enajenación no supere el tres por ciento (3%) de las acciones en circulación de la respectiva sociedad, durante un mismo año gravable.
ARTÍCULO 17. Adiciónese el Artículo 66-2 al Estatuto Tributario, el cual quedará así:
Artículo 66-2. Determinación del costo de mano de obra en el cultivo de papa. Para la determinación del costo en los cultivos de papa, se presume de derecho que el treinta por ciento (30%) del valor del ingreso gravado en cabeza del productor, en cada ejercicio gravable, corresponde a los costos y deducciones inherentes a la mano de obra.
El contribuyente podrá tomar dicho porcentaje como costo en su declaración del impuesto de renta y complementario acreditando únicamente el cumplimiento de los requisitos de causalidad y necesidad contenidos en el Artículo 107 del Estatuto Tributario, los cuales se podrán acreditar a través de cualquier documento que resulte idóneo para ello.
La presente disposición no exime al empleador del cumplimiento de todas las obligaciones laborales y de seguridad social.
ARTÍCULO 18. Adiciónese un parágrafo al numeral 2 del Artículo 105 del Estatuto Tributario, el cual quedará así:
PARÁGRAFO. Para efectos del literal c. del numeral 2 del presente artículo, se entenderá por condenas provenientes de procesos administrativos, judiciales o arbitrales, los valores que tengan naturaleza punitiva, sancionatoria o de indemnización de perjuicios.
ARTÍCULO 19. Modifíquese el Artículo 115 del Estatuto Tributario, el cual quedará así:
Artículo 115. Deducción de impuestos pagados y otros. Es deducible el cíen por ciento (100%) de los impuestos, tasas y contribuciones, que efectivamente se hayan pagado durante el año o período gravable por parte del contribuyente, que tengan relación de causalidad con su actividad económica, con excepción del impuesto sobre la renta y complementarios.
En el caso del gravamen a los movimientos financieros será deducible el cincuenta por ciento (50%) que haya sido efectivamente pagado por los contribuyentes durante el respectivo año gravable, independientemente de que tenga o no relación de causalidad con la actividad económica del contribuyente, siempre que se encuentre debidamente certificado por el agente retenedor.
Las deducciones de que trata el presente Artículo en ningún caso podrán tratarse simultáneamente como costo y gasto de la respectiva empresa.
PARÁGRAFO 1o. <Parágrafo INEXEQUIBLE>
PARÁGRAFO 2o. El impuesto al patrimonio y el impuesto de normalización no son deducibles en el impuesto sobre la renta.
PARÁGRAFO 3o. Las cuotas de afiliación pagadas a los gremios serán deducibles del impuesto de renta.
PARÁGRAFO 4o. No se podrán deducir del impuesto sobre la renta los pagos por afiliaciones a clubes sociales, gastos laborales del personal de apoyo en la vivienda u otras actividades ajenas a la actividad productora de renta, gastos personales de los socios, partícipes, accionistas, clientes y/o sus familiares.
ARTÍCULO 20. Adiciónese el Artículo 244-1 al Estatuto Tributario, así:
Artículo 244-1. Establézcase un aporte voluntario en la declaración del impuesto sobre la renta y complementarios. Los contribuyentes podrán realizar de manera libre un aporte voluntario, que se podrá liquidar como porcentaje del impuesto a pagar o como un valor en pesos.
Este aporte voluntario se liquidará al momento de presentación de la declaración del impuesto sobre la renta y complementarios y se recaudará al momento del respectivo pago. Independientemente que se liquide un saldo a pagar o un saldo a favor, el contribuyente podrá realizar el aporte voluntario de que trata este artículo.
Si no hubiere valor a pagar o saldo a favor, el contribuyente podrá pagar únicamente el aporte voluntario.
El recaudo de este aporte voluntario se destinará para programas sociales de reducción de la pobreza extrema al igual que a programas de atención a las personas en condición de discapacidad física a través de sus cuidadores y al mejoramiento de la calidad de vida del adulto mayor, priorizando la población socioeconómica más vulnerable y con altos grados de discapacidad visual, absoluto o parálisis que afecten a tres (3) o más extremidades y personas con movilidad reducida.
El valor del aporte voluntario no podrá ser tratado como un ingreso no constitutivo de renta ni ganancia ocasional, ni dará lugar a ningún beneficio tributario.
El valor del aporte voluntario no se tendrá en cuenta para la acusación de sanciones ni intereses, no dará lugar a saldo a favor ni podrá ser solicitado en devolución.
ARTÍCULO 21. Modifíquese el artículo 256 del Estatuto Tributario, el cual quedará así:
Artículo 256. Descuento para inversiones realizadas en investigación, desarrollo tecnológico o innovación. Las personas que realicen inversiones en proyectos calificados por el Consejo Nacional de Beneficios Tributarios en Ciencia y Tecnología en Innovación como de investigación, desarrollo tecnológico o innovación, de acuerdo con los criterios y condiciones definidas por dicho Consejo, tendrán derecho a descontar de su impuesto sobre la renta a cargo el treinta por ciento (30%) del valor invertido en dichos proyectos en el período gravable en que se realizó la inversión.
Las inversiones de que trata este Artículo, podrán ser realizadas a través de los actores reconocidos por el Ministerio de Ciencia, Tecnología e Innovación de acuerdo con la normatividad vigente. El Consejo Nacional de Beneficios Tributarios, definirá los procedimientos de control, seguimiento y evaluación de los proyectos calificados, y las condiciones para garantizar la divulgación de los resultados de los proyectos calificados, sin perjuicio de la aplicación de las normas sobre propiedad intelectual, y que además servirán de mecanismo de control de la inversión de los recursos.
PARÁGRAFO 1o. Para que proceda el descuento de que trata el presente artículo, al calificar el proyecto se deberán tener en cuenta criterios de impacto ambiental.
PARÁGRAFO 2o. El mismo tratamiento previsto en este Artículo será aplicable en los siguientes casos: i) a las donaciones hechas a programas creados por las instituciones de educación superior, o del Instituto Colombiano de Crédito Educativo y Estudios Técnicos en el Exterior (ICETEX) dirigidas a programas de becas o créditos condonables que sean aprobados por el Ministerio de Educación Nacional y que beneficien a estudiantes de estratos uno (1) dos (2) y tres (3) a través de becas de estudio total o parcial o créditos condonables que podrán incluir manutención, hospedaje, transporte, matrícula, útiles y libros de acuerdo a la reglamentación expedida por el Gobierno nacional respecto de las condiciones de asignación y funcionamiento de los programas de becas y créditos condonables a los que se refiere el presente Artículo, ii) a las donaciones recibidas por el Fondo Nacional de Financiamiento para la Ciencia, la Tecnología y la Innovación, Fondo Francisco José de Caldas, y que sean destinadas al financiamiento de Programas y/o Proyectos de Ciencia, Tecnología e Innovación de acuerdo con los criterios y las condiciones señaladas por el Consejo Nacional de Beneficios Tributarios en Ciencia, Tecnología e Innovación (CNBT), iii) a la remuneración correspondiente a la vinculación de personal con título de doctorado en las empresas contribuyentes de renta, que se realice con posterioridad a la expedición de la presente ley, siempre y cuando se cumplan con los criterios y condiciones definidos por el CNBT para tal fin y su vinculación esté asociada al desarrollo de actividades de I+D+i. Para el caso de títulos de Doctorado obtenidos en el exterior, se deberán cumplir los requisitos de convalidación previstos en la normatividad vigente, de manera previa a su vinculación y iv) a las donaciones recibidas por intermedio del ICETEX, dirigidas a programas de becas que financien la formación y educación de quienes ingresen a la Fuerza Pública que pertenezcan a los estratos uno (1) dos (2) y tres (3) y a los alumnos que una vez, ya vinculados a los programas, apliquen al programa de becas y cumplan con las exigencias académicas, estarán exentas de gastos administrativos y los rendimientos financieros causados serán reinvertidos en el mismo programa.
De igual manera, el tratamiento previsto en este Artículo será también aplicable a las donaciones a iNNpulsa que realicen los contribuyentes del impuesto sobre la renta. Este incentivo sólo será aplicable, previa verificación del valor de la donación y aprobación por parte del Ministerio de Comercio, Industria y Turismo o la entidad a quien este delegue. Los recursos que así reciba iNNpulsa Colombia deberán ser destinados a la generación de nuevos programas o instrumentos, o el fortalecimiento de la oferta existente que beneficien a los emprendedores del país. Estos recursos podrán ser destinados como capital semilla para la consolidación e impulso de emprendimientos con potencial de crecimiento y que hayan participado dentro de los programas de consolidación de emprendimiento ofrecidos por iNNpulsa Colombia o quien haga sus veces. Estas donaciones no podrán ser destinadas a los gastos de funcionamiento de la entidad. El Gobierno nacional reglamentará el tratamiento previsto en este inciso.
PARÁGRAFO 3o. El descuento previsto por la remuneración de personal con título de doctorado se causará cuando dicho personal no esté vinculado a los proyectos a los que hace mención el presente Artículo en su primer inciso.
PARÁGRAFO 4o. El Consejo Superior de Política Económica y Fiscal (CONFIS) aprobará anualmente, con base en lo solicitado por el Consejo Nacional de Beneficios Tributarios en Ciencia, Tecnología e Innovación (CNBT), un monto máximo total del descuento previsto en el presente artículo y de Crédito Fiscal por Inversiones en CTel. El Gobierno nacional podrá definir mediante reglamento que un porcentaje específico del monto máximo total del descuento de que trata el presente Artículo se invierta en proyectos de investigación, desarrollo tecnológico e innovación en Micro, Pequeñas y medianas empresas (Mipymes). El Consejo Superior de Política Económica y Fiscal (CONFIS) podrá aprobar montos inferiores a los solicitados por el Consejo Nacional de Beneficios Tributarios en Ciencia, Tecnología e Innovación (CNBT).
Cuando se presenten proyectos en CT+I que establezcan inversiones superiores al monto señalado anteriormente, el CNBT podrá solicitar al CONFIS la ampliación de dicho tope, justificando los beneficios y su conveniencia. En los casos de proyectos plurianuales, el monto máximo establecido de acuerdo con lo establecido en este parágrafo se mantendrá vigente durante los años de ejecución del proyecto calificado, sin perjuicio de tomar en un año un valor superior, cuando el CONFIS establezca un monto superior al mismo para dicho año.
PARÁGRAFO 5o. Los costos y gastos que dan lugar al descuento de que trata este Artículo no podrán ser capitalizados ni tomados como costo o deducción nuevamente por el mismo contribuyente.
ARTÍCULO 22. Modifíquense los parágrafos 1 y 2 y adiciónese un parágrafo 6 al Artículo 256-1 del Estatuto Tributario, así:
PARÁGRAFO 1o. Los proyectos presentados y calificados bajo la modalidad de crédito fiscal no podrán acceder al descuento definido en el Artículo 256 del Estatuto Tributario. Igual tratamiento aplica para la remuneración derivada de la vinculación del nuevo personal con título de doctorado.
PARÁGRAFO 2o. El Consejo Superior de Política Económica y Fiscal (CONFIS) aprobará anualmente, con base en lo solicitado por el Consejo Nacional de Beneficios Tributarios en Ciencia, Tecnología e Innovación (CNBT), un monto máximo de inversiones que el CNBT podrá certificar bajo esta modalidad, el cual hará parte del cupo establecido en el parágrafo 4 del Artículo 256 del Estatuto Tributario.
PARÁGRAFO 6o. Las grandes empresas podrán acceder al crédito fiscal de que trata el presente Artículo siempre y cuando se trate de proyectos de investigación, desarrollo tecnológico e innovación realizados en conjunto con Micro, Pequeñas o Medianas empresas.
ARTÍCULO 23. Modifíquese el inciso 3 del Artículo 356-2 del Estatuto Tributario, el cual quedará así:
Cuando la Administración Tributaria compruebe que no se ha presentado la información establecida en el Artículo 364-5 del presente Estatuto y los demás requisitos exigidos para el proceso de calificación en el Régimen Tributario Especial, se procederá dentro del término de diez (10) días hábiles siguientes a la radicación de la solicitud, a informar al solicitante los requisitos que no se cumplieron, con el fin de que este los subsane dentro del mes siguiente al envío de la comunicación. Si el contribuyente no cumple con los requisitos, en los términos indicados en la presente disposición, la entidad no podrá ser registrada en el Registro Único Tributario (RUT) como contribuyente del Régimen Tributario Especial y seguirá perteneciendo al régimen tributario ordinario y la Unidad Administrativa Especial Dirección de Impuestos y Aduanas Nacionales (DIAN) rechazará la solicitud mediante acto administrativo, contra el que procede recurso de reposición.
ARTÍCULO 24. Modifíquese el inciso 3 del Artículo 364-5 del Estatuto Tributario, el cual quedará así:
Las entidades del Régimen Tributario Especial deberán actualizar anualmente, en los primeros seis (6) meses de cada año, la información a la que se refiere este registro.
ARTÍCULO 25. Adiciónese un Artículo al Estatuto Tributario, el cual quedará así:
Artículo 401-4. Retención en la fuente en pagos de tarjetas débito y crédito. Los pagos o abonos en cuenta susceptibles de constituir ingreso tributario a favor de las personas naturales no responsables de IVA por actividades ordinarias provenientes de transferencias en o a través de proveedores de servicios de pago, agregadores, entidades adquirentes o pagadoras, no estarán sujetos a retención en la fuente por impuesto de renta.
ARTÍCULO 26. Modifíquense los incisos 2 y 3 del Artículo 800-1 del Estatuto Tributario, los cuales quedarán así:
El objeto de los convenios será la inversión directa en la ejecución de proyectos de trascendencia económica y social en los diferentes municipios definidos como las Zonas Más Afectadas por el Conflicto Armado (Zomac) y en los municipios con Programas de Desarrollo con Enfoque Territorial (PDET), relacionados con agua potable y saneamiento básico, energía, salud pública, educación pública, bienes públicos rurales, adaptación al cambio climático y gestión del riesgo, pagos por servicios ambientales, tecnologías de la información y comunicaciones, infraestructura de transporte, infraestructura productiva, infraestructura cultural, infraestructura deportiva y las demás que defina el manual operativo de Obras por Impuestos, todo de conformidad con lo establecido en la evaluación de viabilidad del proyecto. Los proyectos a financiar podrán comprender las obras, servicios y erogaciones necesarias para su viabilidad, planeación, preoperación, ejecución, operación, mantenimiento e interventoría, en los términos establecidos por el manual operativo de Obras por Impuestos, según el caso. También podrán ser considerados proyectos en jurisdicciones que, sin estar localizadas en las Zomac, de acuerdo con el concepto de la Agencia de Renovación del Territorio, resulten estratégicos para la reactivación económica y o <sic> social de las Zomac o algunas de ellas. Asimismo <sic>, accederán a dichos beneficios los departamentos que conforman la Amazonía colombiana, que cuenten con una población inferior a ochenta y cinco mil (85.000) habitantes, tal y como lo certifique la autoridad competente a treinta y uno (31) de diciembre de 2022.
Para este fin, la Agencia de Renovación del Territorio (ART) deberá llevar actualizada una lista de iniciativas susceptibles de contar con viabilidad técnica y presupuestal para conformar el banco de proyectos a realizar en los diferentes municipios definidos como Zoma <sic> así como en los municipios de los departamentos que cumplan con las condiciones mencionadas en el inciso anterior, que contribuyan a la disminución de las brechas de inequidad y la renovación territorial de estas zonas, su reactivación económica, social y su fortalecimiento institucional, y que puedan ser ejecutados con los recursos provenientes de la forma de pago que se establece en el presente Artículo. El contribuyente podrá proponer iniciativas distintas a las publicadas por la Agencia de Renovación del Territorio (ART) las cuales deberán ser presentadas a esta Agencia y cumplir los requisitos necesarios para la viabilidad sectorial y aprobación del Departamento Nacional de Planeación (DNP).
ARTÍCULO 27. Modifíquese el Artículo 180 de la Ley 1955 de 2019, el cual quedará así:
Artículo 180. El Ministerio de Cultura podrá realizar convocatorias anuales de proyectos relacionados con las Artes, Culturas y Patrimonio que comprenden de manera genérica los sectores de: artes visuales y plásticas, artes escénicas y espectáculos, artesanía, turismo cultural, patrimonio cultural material e inmaterial, educación artística, cultural y creativa, diseño, contenidos multimedia, servicios audiovisuales interactivos, moda, editorial, audiovisual y fonográfico, entre otros, así como planes especiales de salvaguardia de manifestaciones culturales incorporadas a listas representativas de patrimonio cultural inmaterial acordes con la Ley 1185 de 2008 e infraestructura de espectáculos públicos de artes escénicas previstos en el Artículo 4o de la Ley 1493 de 2011, respecto de las cuales las inversiones o donaciones recibirán similar deducción a la prevista en el Artículo 195 de la Ley 1607 de 2012. Los certificados de inversión que se generen para emparar el incentivo serán a la orden negociables en el mercado.
El Consejo Nacional de Política Fiscal (CONFIS) establecerá un cupo anual máximo para estos efectos.
PARÁGRAFO 1o. El Ministerio de Cultura podrá definir, de considerarlo necesario, que la convocatoria se realice por intermedio de una entidad sin ánimo de lucro adscrita a esa entidad para lo cual celebrará de manera directa el respectivo convenio. Las inversiones o donaciones que se canalicen mediante el mecanismo previsto en este Artículo deberán cubrir los costos que la convocatoria demande.
PARÁGRAFO 2o. El Ministerio de Cultura podrá reglamentar y definir en la convocatoria correspondiente, los criterios de priorización teniendo en cuenta las tipologías de proyectos relacionados con Artes, Culturas y Patrimonio susceptibles de ser destinatarios del incentivo y los montos máximos que pueden ser cobijados con el mismo, así como el tamaño y naturaleza de las empresas que pueden presentar proyectos.
ARTÍCULO 28. DEDUCCIÓN TRANSITORIA DEL IMPUESTO SOBRE LA RENTA. Las personas naturales y jurídicas nacionales que desarrollen actividades de hotelería, agencia de viajes, tiempo compartido y turismo receptivo, que estén obligados a presentar declaraciones de renta y complementarios, cuenten con un establecimiento de comercio domiciliado en San Andrés Isla, Providencia y/o Santa Catalina con anterioridad al dieciséis (16) de noviembre de 2020 y tengan a su cargo trabajadores residentes en estas entidades territoriales, tendrán derecho a deducir de la renta el ciento cincuenta por ciento (150%) del valor de los salarios y prestaciones sociales durante la vigencia del año 2023.
GANANCIAS OCASIONALES.
ARTÍCULO 29. Modifíquese el Artículo 303-1 del Estatuto Tributario, el cual quedará así:
Artículo 303-1. Ganancia ocasional derivada de indemnizaciones por concepto de seguros de vida. Las indemnizaciones por seguros de vida están gravadas con la tarifa aplicable a las ganancias ocasionales, en el monto que supere tres mil doscientos cincuenta (3.250) UVT. El monto que no supere los tres mil doscientos cincuenta (3.250) UVT será considerado como una ganancia ocasional exenta.
ARTÍCULO 30. Modifíquese el Artículo 307 del Estatuto Tributario, el cual quedará así:
Artículo 307. Ganancias ocasionales exentas. Las ganancias ocasionales que se enumeran a continuación están exentas del impuesto, <sic> a las ganancias ocasionales:
1. El equivalente a las primeras trece mil (13.000) UVT del valor de un inmueble de vivienda de habitación de propiedad del causante.
2. El equivalente a las primeras seis mil quinientas (6.500) UVT de bienes inmuebles diferentes a la vivienda de habitación de propiedad del causante.
3. El equivalente a las primeras tres mil doscientas cincuenta (3.250) UVT del valor de las asignaciones que por concepto de porción conyugal o de herencia o legado reciban el cónyuge supérstite y cada uno de los herederos o legatarios, según el caso.
4. El veinte por ciento (20%) del valor de los bienes y derechos recibidos por personas diferentes de los legitimarios y/o el cónyuge supérstite por concepto de herencias y legados y el veinte por ciento (20%) de los bienes y derechos recibidos por concepto de donaciones y de otros actos Jurídicos inter vivos celebrados a título gratuito, sin que dicha suma supere el equivalente a mil seiscientos veinticinco (1.625) UVT.
5. Igualmente están exentos los libros, las ropas y utensilios de uso personal y el mobiliario de la casa del causante.
ARTÍCULO 31. Modifíquese el Artículo 311-1 del Estatuto Tributario, el cual quedará así:
Artículo 311-1. Utilidad en la venta de la casa o apartamento. Estarán exentas las primeras cinco mil (5.000) UVT de la utilidad generada en la venta de la casa o apartamento de habitación de las personas naturales contribuyentes del impuesto sobre la renta y complementarios, siempre que la totalidad de los dineros recibidos como consecuencia de la venta sean depositados en las cuentas de ahorro denominadas “Ahorro para el Fomento de la Construcción, AFC”; y sean destinados a la adquisición de otra casa o apartamento de habitación, o para el pago total o parcial de uno o más créditos hipotecarios vinculados directamente con la casa o apartamento de habitación objeto de venta. En este último caso, no se requiere el depósito en la cuenta AFC; siempre que se verifique el abono directo al o a los créditos hipotecarios, en los términos que establezca el reglamento que sobre la materia expida el Gobierno nacional. El retiro de los recursos a los que se refiere este Artículo para cualquier otro propósito, distinto a los señalados en esta disposición, implica que la persona natural pierda el beneficio y que se efectúen, por parte de la respectiva entidad financiera las retenciones inicialmente no realizadas de acuerdo con las normas generales en materia de retención en la fuente por enajenación de activos que correspondan a la casa o apartamento de habitación.
ARTÍCULO 32. Modifíquese el artículo 313 del Estatuto Tributario, el cual quedará así:
Artículo 313. Para las sociedades y entidades nacionales y extranjeras. Fijase en quince por ciento (15%) la tarifa única sobre las ganancias ocasionales de las sociedades anónimas, de las sociedades limitadas, y de los demás entes asimilados a unas y otras, de conformidad con las normas pertinentes. La misma tarifa se aplicará a las ganancias ocasionales de las sociedades extranjeras de cualquier naturaleza y a cualesquiera otras entidades extranjeras.
ARTÍCULO 33. Modifíquese el Artículo 314 del Estatuto Tributario, el cual quedará así:
Artículo 314. Para personas naturales residentes. La tarifa única del impuesto correspondiente a las ganancias ocasionales de las personas naturales residentes en el país, de las sucesiones de causantes personas naturales residentes en el país y de los bienes destinados a fines especiales, en virtud de donaciones o asignaciones modales, es quince por ciento (15%).
ARTÍCULO 34. Modifíquese el Artículo 316 del Estatuto Tributario, el cual quedará así:
Artículo 316. Para personas naturales extranjeras sin residencia. La tarifa única sobre las ganancias ocasionales de fuente nacional de las personas naturales sin residencia en el país y de las sucesiones de causantes personas naturales sin residencia en el país, es quince por ciento (15%).
IMPUESTO AL PATRIMONIO.
ARTÍCULO 35. Adiciónese el Artículo 292-3 al Estatuto Tributario, así:
Artículo 292-3. Impuesto al patrimonio - sujetos pasivos. Créase un impuesto denominado impuesto al patrimonio. Están sometidos al impuesto:
1. Las personas naturales y las sucesiones ilíquidas, contribuyentes del impuesto sobre la renta y complementarios o de regímenes sustitutivos del impuesto sobre la renta.
2. Las personas naturales, nacionales o extranjeras, que no tengan residencia en el país, respecto de su patrimonio poseído directamente en el país, salvo las excepciones previstas en los tratados internacionales y en el derecho interno.
3. Las personas naturales, nacionales o extranjeras, que no tengan residencia en el país, respecto de su patrimonio poseído indirectamente a través de establecimientos permanentes, en el país, salvo las excepciones previstas en los tratados internacionales y en el derecho interno.
4. Las sucesiones ilíquidas de causantes sin residencia en el país al momento de su muerte respecto de su patrimonio poseído en el país.
5. Las sociedades o entidades extranjeras que no sean declarantes del impuesto sobre la renta en el país, y que posean bienes ubicados en Colombia diferentes a acciones, cuentas por cobrar y/o inversiones de portafolio de conformidad con el Artículo 2.17.2.2.1.2 del Decreto 1068 de 2015 y el 18-1 de este Estatuto, como inmuebles, yates, botes, lanchas, obras de arte, aeronaves o derechos mineros o petroleros. No serán sujetos pasivos del impuesto al patrimonio las sociedades o entidades extranjeras, que no sean declarantes del impuesto sobre la renta en el país, y que suscriban contratos de arrendamiento financiero con entidades o personas que sean residentes en Colombia.
PARÁGRAFO 1o. Para que apliquen las exclusiones consagradas en el numeral 5 del presente Artículo, las acciones, cuentas por cobrar, inversiones de portafolio y contratos de arrendamiento financiero deben cumplir en debida forma con las obligaciones previstas en el régimen cambiario vigente en Colombia.
PARÁGRAFO 2o. Para el caso de los contribuyentes del impuesto al patrimonio señalados en el numeral 3 del presente Artículo, el deber formal de declarar estará en cabeza del establecimiento permanente.
ARTÍCULO 36. Adiciónese el Artículo 294-3 al Estatuto Tributario, así:
Artículo 294-3. Hecho generador. El impuesto al patrimonio se genera por la posesión del mismo al primero (1) de enero de cada año, cuyo valor sea igual o superior a setenta y dos mil (72.000) UVT. Para efectos de este gravamen, el concepto de patrimonio es equivalente al patrimonio líquido/ calculado tomando el total del patrimonio bruto del contribuyente poseído en la misma fecha menos las deudas a cargo del contribuyente vigentes en esa fecha.
ARTÍCULO 37. Adiciónese el Artículo 295-3 al Estatuto Tributario, así:
Artículo 295-3. Base gravable. La base gravable del impuesto al patrimonio es el valor del patrimonio bruto del sujeto pasivo poseído a primero (1) de enero de cada año menos las deudas a cargo del mismo vigentes en esa misma fecha, determinado conforme a lo previsto en el Título II del Libro I de este Estatuto, sin perjuicio de las reglas especiales señaladas en este Artículo.
En el caso de las personas naturales, se excluyen las primeras doce mil (12.000) UVT del valor patrimonial de su casa o apartamento de habitación. Esta exclusión aplica únicamente respecto a la casa o apartamento en donde efectivamente viva la persona natural la mayor parte del tiempo, por lo que no quedan cobijados por esta exclusión los inmuebles de recreo, segundas viviendas u otro inmueble que no cumpla con la condición de ser el lugar en donde habita la persona natural.
PARÁGRAFO 1o. El valor patrimonial que se puede excluir de la base gravable del impuesto al patrimonio se determinará de conformidad con lo previsto en el Título II del Libro I de este Estatuto. El valor patrimonial neto del bien que se excluye de la base gravable, es el que se obtenga de multiplicar el valor patrimonial del bien por el porcentaje que resulte de dividir el patrimonio líquido por el patrimonio bruto a primero (1) de enero de cada año.
PARÁGRAFO 2o. En el caso de las personas naturales sin residencia en el país que tengan un establecimiento permanente en Colombia, la base gravable, corresponderá al patrimonio atribuido al establecimiento permanente de conformidad con lo establecido en el Artículo 20-2 del Estatuto Tributario.
Para efectos de la determinación de los activos, pasivos, capital, ingresos, costos y gastos que se tienen en cuenta al establecer el patrimonio atribuible a un establecimiento permanente durante un año o periodo gravable, se deberá elaborar un estudio, de acuerdo con el Principio de Plena Competencia, en el cual se tengan en cuenta las funciones desarrolladas, activos utilizados, el personal involucrado y los riesgos asumidos por la empresa a través del establecimiento permanente y de las otras partes de la empresa de la que el establecimiento permanente forma parte.
PARÁGRAFO 3o. Para determinar la base gravable del impuesto al patrimonio, se seguirán las siguientes reglas:
1 El valor de las acciones o cuotas de interés social de sociedades o entidades nacionales que no coticen en la Bolsa de Valores de Colombia o una de reconocida idoneidad internacional según lo determine la Unidad Administrativa Especial Dirección- de Impuestos y Aduanas Nacionales (DIAN), corresponde al costo fiscal determinado conforme a lo previsto en el Titulo II del Libro I de este Estatuto, actualizado anualmente en los términos del artículo 73 del Estatuto Tributario para las acciones o cuotas de interés social, a partir de su adquisición. Las acciones o cuotas de interés social adquiridas antes del primero (1) de enero de 2006, se entenderán adquiridas en el año 2006.
Si el valor calculado conforme a la anterior regla es mayor al valor intrínseco de las acciones, se tomará este último.
El valor intrínseco se calculará dividiendo el patrimonio contable a primero (1) de enero de cada año, entre las acciones o cuotas de interés social en circulación.
2. En el caso de las acciones o cuotas de interés social de sociedades o entidades nacionales que coticen en la Bolsa de Valores de Colombia o una de reconocida idoneidad internacional según lo determine la U.A.E. Dirección de Impuestos y Aduanas Nacionales (DIAN), el valor corresponderá al valor promedio de cotización del mercado del año o fracción de año, inmediatamente anterior a la fecha de causación del impuesto.
El tratamiento previsto en los numerales 1 y 2 será aplicable para determinar el costo fiscal a declarar de los derechos en vehículos de inversión tales como fiducias mercantiles o fondos de inversión colectiva cuyos activos correspondan a acciones o cuotas de interés social de sociedades o entidades nacionales, de acuerdo con el Artículo 271-1 del Estatuto Tributario, en lo que no sea contrario a estos numerales.
3. Las participaciones en fundaciones de interés privado, trusts, seguro con componente de ahorro material, fondos de inversión o cualquier otro negocio fiduciario en el exterior, se asimilarán a derechos fiduciarios y en este caso se aplicará lo dispuesto en los Artículos 271-1 y 288 del Estatuto Tributario.
Para estos efectos, cuando los beneficiarios estén condicionados o no tengan control o disposición de los activos subyacentes, el declarante del impuesto al patrimonio será el fundador, constituyente u originario del patrimonio transferido a la fundación de interés privado, trust, seguro con componente de ahorro material, fondo de inversión o cualquier otro negocio fiduciario. Lo anterior sin consideración de la calidad de discrecional, revocable o irrevocable y sin consideración de las facultades del protector, asesor de inversiones, comité de inversiones o poderes irrevocables otorgados a favor del fiduciario o de un tercero. En caso del fallecimiento del fundador, - constituyente u originario, la sucesión ilíquida será el declarante dé dichos activos, hasta el momento -en que los beneficiarios reciban los activos, para lo cual las sociedades intermedias creadas para estos propósitos no serán reconocidas para fines fiscales. En caso de que el fundador, constituyente u originario no pueda ser determinado o la sucesión ya haya sido liquidada, los declarantes serán los beneficiarios directos o indirectos de los activos, aun si su beneficio está sometido a condiciones o plazos o no tengan control o disposición de los activos, con independencia de que no gocen de la propiedad o posesión del bien.
Lo previsto en este parágrafo para la determinación de la base gravable, sólo tiene efectos en el impuesto al patrimonio y no podrá ser aplicado a otros impuestos.
PARÁGRAFO 4o. No se aplicará lo dispuesto en el parágrafo 3 del presente Artículo, cuando se trate de acciones o cuotas de interés social de sociedades o entidades nacionales que no coticen en la Bolsa de Valores de Colombia o una de reconocida idoneidad internacional según lo determine la U.A.E. Dirección de Impuestos y Aduanas Nacionales (DIAN) que cumplan la totalidad de los siguientes requisitos. En estos casos, el valor de las acciones o cuotas de interés social será al costo fiscal:
1. Que la sociedad sea una sociedad emergente innovadora, es decir, que su constitución no sea mayor a cuatro (4) años y que su propósito sea el desarrollo de un negocio innovador y escalable e involucre dentro de su actividad económica principal el uso intensivo de tecnologías digitales o la ejecución de programas de I+D+i, con concepto favorable del Ministerio de Comercio, Industria y Turismo o del Ministerio de Ciencia, Tecnología e Innovación, según el caso;
2. Que la sociedad haya recibido al menos ciento cinco mil (105.000) UVT de inversión en el capital durante el año gravable en curso o en los cuatro (4) años gravables inmediatamente anteriores, a cambio de al menos el cinco por ciento (5%) de la participación en el capital de la sociedad;
3. Que la sociedad no haya tenido renta líquida gravable a treinta y uno (31) de diciembre del año gravable inmediatamente anterior;
4. Que el costo fiscal de las acciones de uno o varios de los accionistas no fundadores o iniciales de la sociedad sea por lo menos tres (3) veces su valor intrínseco con base en el patrimonio líquido de la sociedad a treinta y uno (31) de diciembre del año gravable inmediatamente anterior.
El anterior tratamiento durará por un término de cuatro (4) años desde el momento de recibir la inversión, con el cumplimiento de todos los requisitos en mención.
ARTÍCULO 38. Adiciónese el Artículo 296-3 al Estatuto Tributario, así:
Artículo 296-3 Tarifa. El impuesto al patrimonio se determinará de acuerdo con la siguiente tabla:
| Rangos UVT | Tarifa marginal | Impuesto | |
| Desde | Hasta | ||
| >0 | 72.000 | 0,0% | 0 |
| > 72.000 | 122.000 | 0,5% | (Base Gravable en UVT menos 72.000 UVT) x 0,5% |
| > 122.000 | 239.000 | 1,0% | (Base Gravable en UVT menos 122.000 UVT) x 1,0% + 250 UVT |
| >239.000 | En adelante | 1,5% | (Base Gravable en UVT menos 239.000 UVT) x 1,5% + 1.420 UVT |
PARÁGRAFO. La tarifa del uno coma cinco por ciento (1,5%) sólo aplicará de manera temporal durante los años 2023, 2024, 2025 y 2026. A partir del año 2027, aplicará la siguiente tabla:
| Rangos UVT | Tarifa marginal | Impuesto | |
| Desde | Hasta | ||
| > 0 | 72.000 | 0,0% | 0 |
| > 72.000 | 122.000 | 0,5% | (Base Gravable en UVT menos 72.000 UVT) x 0,5% |
| > 122.000 | En adelante | 1,0% | (Base Gravable en UVT menos 122.000 UVT) x 1,0% + 250 UVT |
ARTÍCULO 39. Adiciónese el Artículo 297-3 al Estatuto Tributario, así:
Artículo 297-3. CAUSACIÓN. La obligación legal del impuesto al patrimonio se causa el primero (1) de enero de cada año.
ARTÍCULO 40. Adiciónense los incisos 4 y 5 al Artículo 298-2 del Estatuto Tributario, así:
Además de los hechos mencionados en el Artículo 647 de este Estatuto, constituye inexactitud sancionable de conformidad con el mismo, la realización de ajustes contables y/o fiscales, que no correspondan a operaciones efectivas o reales y que impliquen la disminución del patrimonio líquido, a través de omisión o subestimación de activos, reducción de valorizaciones o de ajustes o de reajustes fiscales, la inclusión de pasivos inexistentes o de provisiones no autorizadas o sobreestimadas de los cuales se derive un menor impuesto a pagar. Lo anterior, sin perjuicio de las sanciones penales a que haya lugar.
La U.A.E. Dirección de Impuestos y Aduanas Nacionales (DIAN) establecerá programas prioritarios de control sobre aquellos contribuyentes que declaren un patrimonio menor al patrimonio fiscal declarado o poseído a primero (1) de enero del año inmediatamente anterior, con el fin de verificar la exactitud de la declaración y de establecer la ocurrencia de hechos económicos generadores del impuesto que no fueron tenidos en cuenta para su liquidación.
ARTÍCULO 41. Modifíquese el Artículo 298-8 del Estatuto Tributario, así:
Artículo 298-8. Remisión. El impuesto al patrimonio se somete a las normas sobre declaración, pago, administración y control contempladas en los Artículos 298, 298-1, 298-2 y demás disposiciones concordantes de este Estatuto.
IMPUESTO UNIFICADO BAJO EL RÉGIMEN SIMPLE DE TRIBUTACIÓN (SIMPLE).
ARTÍCULO 42. Adiciónese un inciso al numeral 2 y modifíquese el numeral 6 del Artículo 905 del Estatuto Tributario, así:
<Inciso INEXEQUIBLE> Las personas que presten servicios profesionales de consultoría y científicos en los que predomine el factor intelectual sobre el material incluidos los servicios de profesiones liberales, sólo podrán ser sujetos pasivos del impuesto unificado bajo el régimen simple de tributación - SIMPLE si por estos conceptos hubieren obtenido ingresos brutos, ordinarios o extraordinarios inferiores a doce mil (12.000) UVT en el año gravable anterior.
6. La persona natural o jurídica debe contar con la inscripción respectiva en el Registro Único Tributario (RUT) y con todos los mecanismos electrónicos de cumplimiento, firma electrónica y factura electrónica o documentos equivalentes electrónicos.
ARTÍCULO 43. Adiciónese un numeral 11 al Artículo 906 del Estatuto Tributario, así:
11. Las personas naturales o jurídicas que desarrollen las actividades económicas CIIU 4665, 3830 y 3811 que obtengan utilidades netas superiores al tres (3%) del ingreso bruto.
Las notas de vigencia, concordancias, notas del editor, forma de presentación y disposición de la compilación están protegidas por las normas sobre derecho de autor. En relación con estos valores jurídicos agregados, se encuentra prohibido por la normativa vigente su aprovechamiento en publicaciones similares y con fines comerciales, incluidas -pero no únicamente- la copia, adaptación, transformación, reproducción, utilización y divulgación masiva, así como todo otro uso prohibido expresamente por la normativa sobre derechos de autor, que sea contrario a la normativa sobre promoción de la competencia o que requiera autorización expresa y escrita de los autores y/o de los titulares de los derechos de autor. En caso de duda o solicitud de autorización puede comunicarse al teléfono 617-0729 en Bogotá, extensión 101. El ingreso a la página supone la aceptación sobre las normas de uso de la información aquí contenida.